INTELECTIA G.Conocimiento

        1. SERVIDOR INTELECTIA SAC
            1.2 MÁSTER PARA VENTAS
                1.2.2 Mapas Conceptuales
                    MAPAS DE CMAPSTOOLS
                        1) MAPAS VARIOS
                            INGENIERIA MECANICA
                                TRANSFERENCIA DE CALOR
                                    Aplicaciones
                                    Análisis de la Medida de transferencia de calor para motores DIESEL

                                        1- Análisis de la Medida de transferencia de calor para motores DIESEL.cmap
                                        1- Recuperación de Calor latente de Gas Oxígeno de Combustión.cmap
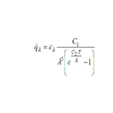
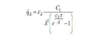
                                        ecuaciones.jpg
                                        Latent Heat Recovery from Oxygen-Combustion Flue Gas.pdf
                                        mapa 1.pdf
                                        Sin título.jpg