WARNING:
JavaScript is turned OFF. None of the links on this concept map will
work until it is reactivated.
If you need help turning JavaScript On, click here.
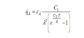
Este Cmap, tiene información relacionada con: 1- Análisis de la Medida de transferencia de calor para motores DIESEL, EL MÉTODO DE LOS DOS COLORES Sus ventajas: *El método detecta la emisión de luz de las partículas de hollín de modo que no hay necesidad de una fuente de luz externa *Uso de una sonda óptica que provoca una interferencia mínima con el proceso de combustión * El uso de foto detectores de respuesta rápida permite en tiempo real monitorización de la concentración de hollín., Análisis de la Medida de transferencia de calor para motores DIESEL, usando el método de los dos colores. El encendido de los motores requiere los procesos: RADIACIÓN, RADIACIÓN y para la medición de estos dos sistemas tenemos: EL MÉTODO DE LOS DOS COLORES, EL MÉTODO DE LOS DOS COLORES Es popular Es popular porque el costo es efectivo y sencillo y se pueden guardar todos sus valores en un DATA, CONVECCIÓN y para la medición de estos dos sistemas tenemos: EL MÉTODO DE LOS DOS COLORES, EL MÉTODO DE LOS DOS COLORES En este trabajo se mide solo en un proceso: MEDICIÓN DE TRANSFERENCIA DE CALOR POR RADIACIÓN EN UN MOTOR DIESEL, MEDICIÓN DE TRANSFERENCIA DE CALOR POR RADIACIÓN EN UN MOTOR DIESEL a proporcionado: INFORMACIÓN VALIOSA SOBRE EL PROCESO DE COMBUSTIÓN EN EL INTERIOR DEL MOTOR, CUANDO ES ENCENDIDO POR COMPRESIÓN E INYECCIÓN DIRECTA, EL MÉTODO DE LOS DOS COLORES utiliza: LAS ECUACIONES THE HOTTEL- BROUGHTON, LAS ECUACIONES THE HOTTEL- BROUGHTON Q consiste: EN DEDUCIR LA TEMPERATURA DE LA LLAMA, Y LA CONCENTRACIÓN DE HOLL�?N, Análisis de la Medida de transferencia de calor para motores DIESEL, usando el método de los dos colores. El encendido de los motores requiere los procesos: CONVECCIÓN